Conteúdos
● Introdução ao tema;
● Segunda Lei de Newton; e
● Força Peso.
Veja também
Primeira Lei de Newton: o conceito de inércia
Terceira Lei de Newton: ação e reação
Objetivos
● Compreender a relação da Primeira Lei com a Segunda Lei de Newton;
● Compreender a Segunda Lei de Newton;
● Aprender quais são as unidades de medida das grandezas físicas envolvidas na Segunda Lei de Newton; e
● Compreender qual é a relação da Segunda Lei de Newton com a Força Peso.
Palavras-Chave:
Leis de Newton. Segunda Lei de Newton. Força resultante. Aceleração. Massa. Força Peso.
Proposta de Trabalho:
O objetivo deste roteiro é auxiliar nos estudos em casa ou em outro ambiente. Nesse sentido, apresenta um percurso com textos-base e algumas propostas de atividades, trazendo, no final, outros textos e vídeos que podem ajudar a compreender melhor o tema em questão.
Não é necessário fazer todas as etapas, ler todos os textos ou assistir todos os vídeos, mas as questões norteadoras, bem como as subquestões que advêm delas, ajudam na captação integral do conteúdo, bem como de seus principais conceitos.
Leia os textos propostos buscando as respostas para cada uma das perguntas. Caso surjam dúvidas ao longo da leitura, aproveite para fazer anotações em seu caderno e aprofundar sua pesquisa. Após a leitura de cada um dos textos, escreva um parágrafo resumindo seu aprendizado.
1ª Etapa: Introdução ao tema
A Primeira Lei de Newton nos diz que:
“Todo corpo continua o seu estado de repouso ou de movimento retilíneo uniforme, a menos que seja obrigado a mudar o seu estado por alguma força externa aplicada sobre ele.”

Neste roteiro de estudos vamos nos empenhar em compreender que tipo de força é essa que aparece no enunciado da Primeira Lei de Newton, bem como vamos buscar entender o que tal força provoca no corpo sobre o qual atua.
2ª Etapa: Segunda Lei de Newton
Pode ser enunciada como:
“A força resultante aplicada sobre um corpo é proporcional ao produto da massa pela aceleração por ele adquirida.”

Matematicamente, ela pode ser expressa da seguinte forma:

Pergunta norteadora: O que nos diz a Segunda Lei de Newton?
Segunda Lei de Newton – Brasil Escola – Mariane Mendes
TEIXEIRA, Mariane Mendes. “Segunda Lei de Newton”; Brasil Escola. Acesso em 12 de março de 2021.
A partir da leitura do texto acima, responda as seguintes perguntas:
– Para que se altere o estado de movimento de um determinado corpo, o que é preciso ser feito?
– A aceleração tem o mesmo sentido ou o sentido contrário ao da força aplicada?
– Como é possível definir a inércia?
– Como, a partir da Segunda Lei de Newton, podemos definir a grandeza física massa?
– A força é uma grandeza física escalar ou vetorial? O que caracteriza uma força?
– Complete a frase:
“A Segunda Lei de Newton também é chamada de Princípio ……………………………………”
– No Sistema Internacional (SI) de medidas, qual é a unidade para a força?
– No SI, qual é a unidade de medida para a aceleração? A aceleração é uma grandeza física escalar ou vetorial?
– No SI, qual é a unidade de medida para a massa? A massa é uma grandeza física escalar ou vetorial?
Para saber mais, leia e assista:
Segunda Lei de Newton – Toda Matéria.
Segunda Lei de Newton Explicada – Ciência Todo Dia.
Segunda Lei de Newton: Princípio Fundamental da Dinâmica – Brasil Escola.
3ª Etapa: Força Peso

Podemos definir a Força Peso como:
“A força que atua sobre um corpo que sofre a influência de um campo gravitacional.”
O peso, ou a Força Peso, pode ser deduzida a partir da Segunda Lei de Newton.
A sua expressão matemática é:

Pergunta norteadora: O que é a Força Peso?
Força Peso – Toda Matéria – Rosimar Gouveia
Acesso em 12 de março de 2021.
A partir da leitura do texto acima, responda as seguintes perguntas:
– Em qual direção atua a Força Peso?
– Os pesos dos corpos são sempre os mesmos, ou podem variar de acordo com o campo gravitacional?
– E a massa dos corpos, ela é sempre constante, ou varia de acordo com o campo gravitacional?
– No SI, qual é a unidade de medida para a Força Peso?
Para saber mais, leia:
4ª Etapa: Cheque seus conhecimentos
Realizar exercícios é um excelente método no contexto do estudo autodirigido. Seguem abaixo, alguns exemplos de questões sobre o tema estudado.
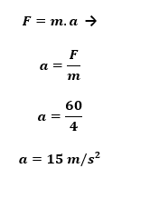
1) Um corpo de massa 4,0 kg encontra-se inicialmente em repouso e é submetido a ação de uma força cuja intensidade é igual a 60 N. Calcule o valor da aceleração adquirida pelo corpo.
Resolução:

(Disponível em: Brasil Escola . Acesso em: 12 de março de 2021)
2) (UF-MT) A ordem de grandeza de uma força de 1000N é comparável ao peso de:
a) um lutador de boxe peso pesado.
b) um tanque de guerra.
c) um navio quebra-gelo
d) uma bola de futebol
e) uma bolinha de pingue-pongue
Resposta: A
Resolução:
Adotando a gravidade como 10 m/s², para P = 1000N, temos:

Resposta: Um lutador de boxe “peso” pesado.
(Disponível em: Brasil Escola . Acesso em: 12 de março de 2021).
3) (FAAP-SP) Um carro com massa 1000 kg partindo do repouso, atinge 30m/s em 10s. Supõem-se que o movimento seja uniformemente variado. Calcule a intensidade da força resultante exercida sobre o carro.
Resolução:
Primeiro, é necessário calcular a aceleração, o que faremos isto usando a função horária da velocidade, pois se trata de um movimento uniformemente variado.

(Disponível em: Brasil Escola . Acesso em: 12 de março de 2021).
4) (Mackenzie-2005) Um corpo de 4,0kg está sendo levantado por meio de um fio que suporta tração máxima de 50N. Adotando g = 10m/s2, a maior aceleração vertical que é possível imprimir ao corpo, puxando-o por esse fio, é:
a) 2,5m/s2
b) 2,0m/s2
c) 1,5m/s2
d) 1,0m/s2
e) 0,5m/s2
Resposta: A
Resolução:
O corpo está sendo levantado, então T > P:

(Disponível em: Toda Matéria . Acesso em: 12 de março de 2021).
5) (ITA-1996) Fazendo compras num supermercado, um estudante utiliza dois carrinhos. Empurra o primeiro, de massa m, com uma força F, horizontal, o qual, por sua vez, empurra outro de massa M sobre um assoalho plano e horizontal. Se o atrito entre os carrinhos e o assoalho puder ser desprezado, pode-se afirmar que a força que está aplicada sobre o segundo carrinho é:
a) F
b) MF/ (m + M)
c) F (m + M) / M
d) F / 2
e) outra expressão diferente
Resposta: B
Resolução:
A Segunda Lei de Newton nos diz que:

(Disponível em: Toda Matéria. Acesso em: 12 de março de 2021).
6) (UFMG) Um corpo de massa m está sujeito à ação de uma força F que o desloca segundo um eixo vertical em sentido contrário ao da gravidade. Se esse corpo se move com velocidade constante, é porque:
a) a força F é maior do que a da gravidade.
b) a força resultante sobre o corpo é nula.
c) a força F é menor do que a gravidade.
d) a diferença entre os módulos das duas forças é diferente de zero.
e) a afirmação da questão está errada, pois qualquer que seja F o corpo estará acelerado porque sempre existe a aceleração da gravidade.
Resposta: B
Explicação:
A Segunda lei de Newton mostra que, se não existir aceleração, não há aplicação de força para os movimentos retilíneos. Como o corpo move-se com velocidade constante, podemos afirmar que a força resultante que atua sobre ele é nula.
(Disponível em: Mundo Educação . Acesso em: 12 de março de 2021).
7) (UEL-PR) Um corpo de massa m é submetido a uma força resultante de módulo F, adquirindo aceleração a. A força resultante que se deve aplicar a um corpo de massa m/2 para que ele adquira aceleração 4a deve ter módulo:
a) F/2
b) F
c) 2F
d) 4F
e) 8F
Resposta: C
Resolução:
A partir da Segunda lei de Newton, podemos escrever que:

(Disponível em: Mundo Educação. Acesso em: 12 de março de 2021).
Roteiro de estudos elaborado pelo Professor Elves Silva Moreira