Conteúdos
Este roteiro de estudos de matemática apresenta um caminho para compreender as principais características de dois tipos de matrizes: inversas e transpostas. Após indicação de leitura, algumas questões são sugeridas, visando à fixação do conteúdo. O material também conta com indicações de vídeos, possibilitando a ampliação e o aprofundamento de determinados tópicos, além de exercícios resolvidos.
● O que é uma matriz inversa?
● Cálculo dos elementos de uma matriz inversa; e
● O que é uma matriz transposta?
Objetivos
● Compreender o que é uma matriz inversa;
● Aprender a calcular os elementos de matrizes inversas; e
● Compreender o que é uma matriz transposta.
Estude também:
Estudar em casa: números complexos
Estudar em casa: polinômios e seus componentes
Palavras-chave:
Matriz. Elementos de uma matriz. Matriz inversa. Matriz transposta.
Proposta de trabalho:
O objetivo deste roteiro é auxiliar nos estudos em casa ou em outro ambiente. Nesse sentido, apresenta um percurso com textos-base e algumas propostas de atividades, e, no final, há outros textos e vídeos que podem ajudar a compreender melhor o tema em questão.
Não é necessário fazer todas as etapas, ler todos os textos ou assistir todos os vídeos, mas as questões norteadoras, bem como as subquestões que advêm delas, ajudam na captação integral do conteúdo, bem como de seus principais conceitos.
Leia os textos propostos, sempre buscando as respostas para cada uma das perguntas. Se aparecerem mais dúvidas ao longo da leitura, aproveite para fazer anotações em seu caderno e aumentar ainda mais sua pesquisa. Após as leituras de cada um dos textos, escreva um parágrafo resumindo seu aprendizado.
1ª Etapa: O que é uma matriz inversa?

Pergunta norteadora: o que é uma matriz inversa?
Matriz inversa: Definição, Propriedades e Exemplos – Matemática Básica – Jean Carlos Novaes
Acesso em: 18 de agosto de 2021.
A partir da leitura do texto acima, responda às seguintes questões:
1) É possível efetuar divisões com matrizes?
2) O que significa uma matriz invertível?
3) Complete a frase: A multiplicação de uma matriz qualquer pela sua inversa resulta em…
4) O que é uma matriz identidade?
5) O que é uma matriz quadrada?
6) Qual é a equação matricial que define a matriz inversa?
7) Como se chama uma matriz que possui inversa?
8) Como se chama uma matriz que não possui inversa?
9) Como saber se uma matriz possui ou não inversa?
10) Uma matriz não quadrada possui inversa?
Para saber mais, assista:
Matriz Inversa – Equaciona com Paulo Pereira
Acesso em: 3 de setembro de 2021.
Gabarito da 1ª Etapa:
1) Não é possível efetuar divisões com matrizes.
2) Matriz invertível, ou “inversível”, é a mesma coisa que matriz inversa.
3) A multiplicação de uma matriz qualquer pela sua inversa resulta em uma matriz identidade, de mesma ordem.
4) Matriz identidade é aquela que possui os elementos da diagonal principal iguais a 1, e todos os demais iguais a zero.
5) Matriz quadrada é aquela que possui o número de linhas igual ao número de colunas.
6)

7) Se uma matriz possui inversa, dizemos que ela é inversível, de forma tal que a sua inversa é uma matriz única.
8) Se uma matriz não possui inversa, ou seja, se ela não for inversível, dizemos que ela é uma matriz singular.
9) O procedimento para se saber se uma matriz A possui ou não matriz inversa, é calcular o seu determinante [det(A)]. Quando o determinante é diferente de zero, a matriz possui inversa. Quando o determinante é igual a zero, a matriz não possui inversa. De forma concisa, pode-se escrever:
det (A)≠0 →possui matriz inversa
det (A)=0 →não possui matriz inversa
10) Só é possível calcular o determinante de uma matriz quadrada, ou seja, uma matriz que tem o mesmo número de linhas e de colunas. Portanto, uma matriz que não é quadrada não possui matriz inversa.
2ª Etapa: Cálculo dos elementos de uma matriz inversa

Pergunta norteadora: como calcular os elementos de uma matriz inversa?
Matriz inversa – Mundo Educação – Raul Rodrigues de Oliveira
Acesso em: 18 de agosto de 2021.
A partir da leitura do texto acima, responda às seguintes questões:
1) Como podemos caracterizar a matriz identidade na multiplicação de matrizes?
2) Quais são as principais propriedades da matriz inversa?
Para saber mais, assista:
Matriz Inversa (Fácil) – Equaciona com Paulo Pereira
Acesso em: 3 de setembro de 2021.
Gabarito da 2ª Etapa:
1) A matriz identidade é o elemento neutro da multiplicação de matrizes. Ou seja, para uma matriz quadrada A de ordem n, temos:

2) Propriedades fundamentais da matriz inversa:
● A inversa da matriz inversa de M é igual à M (ela mesma), ou seja

● A inversa de uma matriz identidade é igual a ela mesma, ou seja

● A inversa do produto de duas matrizes é igual ao produto das inversas, logo

3ª Etapa: O que é uma matriz transposta?

Pergunta norteadora: O que é uma matriz transposta?
Matriz transposta – InfoEscola – José Roberto Lessa
Acesso em: 18 de agosto de 2021.
A partir da leitura do texto acima, responda às seguintes questões:
1) O que ocorre com os elementos das linhas e das colunas de uma matriz, quando se obtém a sua transposta?
2) Quais são as propriedades fundamentais da matriz transposta?
Para saber mais, leia e assista:
OLIVEIRA, Raul Rodrigues de. Matriz transposta – Brasil Escola
Acesso em: 18 de agosto de 2021.
Matriz 07: Matriz transposta – Matemática no Papel
Acesso em: 3 de setembro de 2021.
Gabarito da 3ª Etapa:
1) O que é linha torna-se coluna, e o que é coluna torna-se linha.
2) Propriedades fundamentais da matriz transposta:
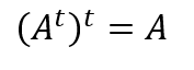
● A transposta de uma matriz transposta é igual à própria matriz, ou seja

● A transposta da soma de duas matrizes é igual à soma da transposta de cada uma delas, ou seja

● A transposta do produto entre duas matrizes é igual ao produto da transposta de cada uma das matrizes, na ordem inversa, ou seja

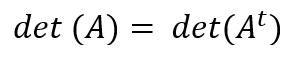
● O determinante de uma matriz A é igual ao determinante de sua matriz transposta, ou seja

● A transposta de uma constante vezes uma matriz é igual a essa mesma constante vezes a transposta da matriz, ou seja

4ª Etapa: Cheque seus conhecimentos
Realizar exercícios durante o estudo autodirigido é muito bom para fixar os conteúdos. Abaixo, alguns exemplos de questões sobre o tema estudado:
1) U.F. Viçosa – MG
Sejam as matrizes

Onde x e y são números reais e M é a matriz inversa de A. Então o produto x.y é:
a) 3/2
b) 2/3
c) 1/2
d) 3/4
e) 1/4
Alternativa correta: A.
Resolução:
Temos que:
A.M=I
Essa igualdade é verdadeira, pois a matriz M é inversa da matriz A.
Através dessa igualdade encontraremos o valor de x e y.

Com isso, temos que

Questão e gabarito disponíveis em:
https://exercicios.brasilescola.uol.com.br/exercicios-matematica/exercicios-sobre-matriz-inversa.htm#questao-1.
Acesso em: 18 de agosto de 2021.
2) Verifique se a matriz A=[2 -5 -1 3 ] é a matriz inversa da matriz B=[3 5 1 2 ] .
Resolução:
Quando temos o produto de uma matriz por sua inversa obtemos a matriz identidade como resultado.
B.A=I

Logo, a matriz dada A é de fato a matriz inversa da matriz B.
Questão e gabarito disponíveis em: Brasil Escola.
Acesso em: 18 de agosto de 2021.
3) Para a matriz quadrada abaixo, encontre a sua transposta:

Resolução:
Para encontrar a transposta da matriz A, basta trocarmos as linhas pelas colunas:

Questão e gabarito disponíveis em:
https://matematicabasica.net/exercicios-sobre-matriz-transposta/.
Acesso em: 18 de agosto de 2021.
4) Seja a matriz abaixo de ordem 2×3, encontre a matriz transposta.

Resolução:
Trocando as linhas pelas colunas, temos:

Obtivemos como resultado uma matriz 3×2.
Questão e gabarito disponíveis em Matemática Básica.
Acesso em: 18 de agosto de 2021.
Roteiro de estudos elaborado pelo professor Elves Silva Moreira
Coordenação Pedagógica: professora Dr.ª Aline Bitencourt Monge