Conteúdos
Este roteiro de estudos de matemática traz, de forma introdutória, o conceito de fatorial. Inicia-se fazendo uma breve discussão sobre a importância de tal operação para a análise combinatória, apresentando algumas de suas principais características. Posteriormente, são disponibilizados diversos problemas/desafios, oriundos dos textos sugeridos para leitura. O material também conta com algumas sugestões de vídeos (possibilitando uma ampliação e aprofundamento em determinados tópicos). Ao final, há alguns exercícios resolvidos.
● O que é fatorial?;
● Operações com fatoriais; e
● Cheque seus conhecimentos.
Objetivos
● Aprender o que é o fatorial de um número natural; e
● Aprender a efetuar algumas operações (adição, subtração, multiplicação e divisão) com fatoriais.
Estude também:
Estudar em casa: função composta
Estudar em casa: matrizes inversas e transpostas
Palavras-chave:
Fatorial. Operações com fatoriais.
Proposta de Trabalho:
O objetivo deste roteiro é auxiliar nos estudos em casa ou em outro ambiente. Nesse sentido, apresenta um percurso com textos-base e algumas propostas de atividades, e, no final, há outros textos e vídeos que podem ajudar a compreender melhor o tema em questão.
Não é necessário fazer todas as etapas, ler todos os textos, ou assistir todos os vídeos, mas as questões norteadoras, bem como as subquestões que advém delas, ajudam na captação do conteúdo inteiro e dos principais conceitos.
Leia os textos propostos, sempre buscando as respostas para cada uma das perguntas. Se aparecerem mais dúvidas ao longo da leitura, aproveite para fazer anotações em seu caderno e aumentar sua pesquisa. Após as leituras de cada um dos textos, escreva um parágrafo resumindo seu aprendizado.
1ª Etapa: Introdução
O fatorial é uma operação matemática bastante relevante para o estudo de diversos conceitos. Em especial, vale mencionar o estudo da análise combinatória. Assim, ao tratarmos de situações que envolvem permutações, combinações ou arranjos, é imprescindível ter domínio do conceito de fatorial, pois tal operação aparece em todas as situações citadas.
A operação matemática fatorial é representada pelo símbolo de exclamação “!”, de forma que, se quisermos representar o fatorial de um determinado número n, basta escrevermos:

Para se obter o fatorial de um determinado número, deve-se multiplicar esse mesmo número por todos os seus antecessores, até chegarmos no número 1. Exemplo:

O fatorial é uma operação matemática definida apenas para o conjunto dos números naturais (N). Dessa forma, neste nível de aprofundamento, não faz sentido calcular o fatorial de um número negativo, de uma fração, de um número decimal, irracional ou complexo.
Este roteiro de estudos pretende guiar o(a) leitor(a) para uma melhor compreensão a respeito da operação matemática: fatorial.
Bons estudos!!!
2ª Etapa: O que é fatorial?

Acesso em: 19 de maio de 2022.
Pergunta norteadora:
1) O que é fatorial?
OLIVEIRA, Raul Rodrigues de. “Fatorial”; Brasil Escola.
Acesso em: 25 de abril de 2022.
A partir da leitura da Introdução deste material, bem como do texto acima, responda às seguintes perguntas:
1- Qual é o símbolo utilizado para representar a operação matemática: fatorial?
2- Pode-se calcular o fatorial de −7. Por quê?
3- Como podemos representar, de forma genérica, o fatorial de um número n?
4- Calcule:
a) 2!
b) 5!
c) 9!
5- Por definição, quanto vale:
a) 0!
b) 1!
Respostas das perguntas da 2ª Etapa:
1- O símbolo de exclamação “!” representa a operação matemática fatorial.
2- Não. Pois a operação matemática fatorial só é definida para os números naturais (N).
3- O fatorial de um número natural (N) n é:

4-
a) 2!=2×1=2
b) 5!=5×4×3×2×1=120
c) 9!=9×8×7×6×5×4×3×2×1=362 880
5- Por definição, tem-se que:
a) 0!=1
b) 1!=1
Para saber mais, assista:
Número fatorial – introdução – O que é e para que serve? – Matemática Descomplicada
Acesso em: 25 de abril de 2022.
Fatorial – Equaciona Com Paulo Pereira
Acesso em: 25 de abril de 2022.
3ª Etapa: Operações com fatoriais
Pergunta norteadora:
1) Quais operações podemos efetuar com os fatoriais?
Operações com fatoriais – Escola Educação
Acesso em: 25 de abril de 2022.
A partir da leitura do texto acima, responda às seguintes perguntas:
1- Calcule:
a) 7!-5!=?
b) 6!-3!=?
c) 5!+2!-0!=?
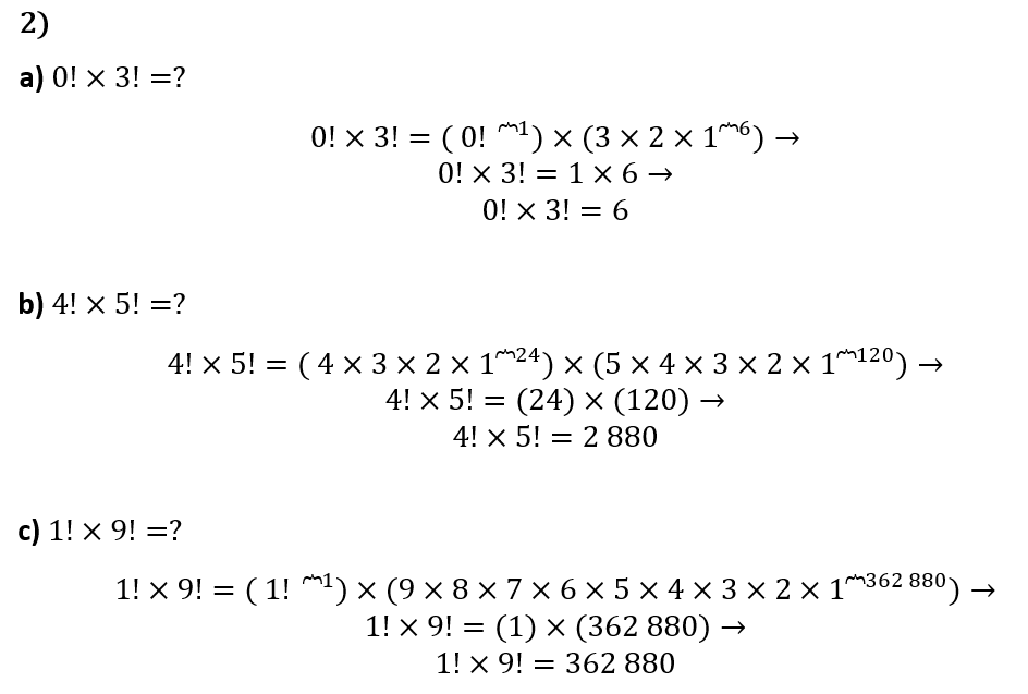
2- Calcule:
a) 0!×3!=?
b) 4!×5!=?
c) 1!×9!=?
3- Calcule:
a) 2!/6!=?
b) 8!/4!=?
c) 9!/7!=?
Respostas das perguntas da 3ª Etapa:



Para saber mais, assista:
Operações com fatorial – Professora Angela Matemática
Acesso em: 25 de abril de 2022.
4ª Etapa: Cheque seus conhecimentos
Realizar questões é um excelente exercício durante o estudo autodirigido. Abaixo, alguns exemplos de questões sobre o tema estudado:
1) (Instituto Excelência) Assinale a alternativa CORRETA referente a fatorial:
a) O fatorial de um número n (n pertence ao conjunto dos números naturais) é sempre o produto de todos os seus antecessores, incluindo a si próprio e excluindo o zero. A representação é feita pelo número fatorial seguido do sinal de exclamação, n!.
b) O fatorial de um número n (n pertence ao conjunto dos números naturais) é sempre o produto de todos os seus antecessores, incluindo a si próprio e também incluindo o zero. A representação é feita pelo número fatorial seguido do sinal de exclamação, n!.
c) O fatorial de um número n (n pertence ao conjunto dos números naturais) é sempre o produto de todos os seus antecessores, excluindo a si próprio e também excluindo o zero. A representação é feita pelo número fatorial seguido do sinal de exclamação, n!.
d) Nenhuma das alternativas.
Resposta: A
Justificativa:
O fatorial de um número é o produto desse número por todos os seus antecessores maiores que 0, ou seja, excluindo o 0.
Disponível em: Prepara Enem.
Acesso em: 25 de abril de 2022.
2) (Cetro concursos) Analise as sentenças.
I. 4! + 3! = 7!
II. 4! · 3! = 12!
III. 5! + 5! = 2 · 5!
É correto o que se apresenta em:
a) I, apenas.
b) II, apenas.
c) III, apenas.
d) I, II e III.
Resposta: C
I. Errada
Verificando:

II. Errada
Verificando:

Disponível em: Prepara Enem.
Acesso em: 25 de abril de 2022.
3) Calcule o valor do fatorial:

Disponível em: Matemática Básica.
Acesso em: 25 de abril de 2022.
Roteiro de estudos elaborado pelo Professor Elves Silva Moreira
Revisão textual: Professora Daniela Leite Nunes
Coordenação Pedagógica: Prof.ª Dr.ª Aline Monge