Conteúdos
Este roteiro de estudos aborda a equação reduzida e geral da circunferência, identificando o centro e o raio de uma circunferência.
Objetivos
● Identificar a equação reduzida e geral da circunferência.
● Identificar o centro e o raio de uma circunferência a partir de suas equações reduzida e geral.
● Resolver situações-problema que envolvam equação geral e reduzida de uma circunferência.
Conteúdos / Objetos do conhecimento:
Equação reduzida da circunferência e equação geral da circunferência.
Palavras-chave:
Equação reduzida da circunferência. Equação geral da circunferência. Geometria analítica.
Proposta de trabalho:
O objetivo deste roteiro de estudos é auxiliar os estudantes. Apresenta-se uma sequência de atividades que servirão de apoio no desenvolvimento das aprendizagens, além de vídeos para ajudar na compreensão das equações reduzida e geral da circunferência.
1ª Etapa: Introdução à equação da circunferência
Olá! Vamos falar sobre um tópico fascinante da geometria: a equação de uma circunferência. Você já deve ter percebido que as circunferências estão presentes em muitos contextos ao nosso redor, desde o movimento dos planetas até as rodas dos veículos. O estudo da equação de uma circunferência é fundamental para compreendermos suas propriedades matemáticas e sua representação algébrica.
Basicamente, a equação de uma circunferência nos permite descrever essa forma geométrica usando a linguagem da matemática. Ela é representada por uma fórmula específica, que relaciona as coordenadas dos pontos da circunferência com o seu raio.

Agora, como você faria para determinar se um ponto pertence à circunferência? Basta substituir as coordenadas do ponto P em x e y na equação reduzida e verificar se a igualdade é verdadeira. Veja abaixo.
Verificar se o ponto (1,0) pertence à circunferência do exemplo anterior:
(1+2)²+(0-1)²=4, verifique que o primeiro membro é diferente do segundo, portanto o ponto (1,0) não pertence à circunferência.
Agora é sua vez:
1) Qual é a equação reduzida de uma circunferência cujo raio mede 5 cm e tem seu centro no ponto (1,3)?

2) O centro de uma circunferência é determinado pelo ponto médio do segmento PQ, sendo
P(8, 6) e Q(4, 10). Considerando que o raio dessa circunferência é 5, determine sua equação.

2ª Etapa: Equação geral da circunferência
Agora que você já conhece a equação reduzida da circunferência, vamos trabalhar na chamada equação geral de uma circunferência. Para tal, basta abrir os quadrados da equação reduzida. Veja:

Vamos praticar?
1) Qual é a equação geral de uma circunferência que passa pelo centro (1,2) e tem raio igual a 4?
Gabarito:
Vamos substituir na equação:

2) Qual é a equação geral da circunferência que tem equação reduzida (x+2)²+(y-3)²=16 e qual o seu raio?
Gabarito:
Basta abrirmos os produtos notáveis.

Agora, se você tiver uma equação geral, como você faz para descobrir o raio e o centro dessa circunferência? Acesse o vídeo sobre equação geral da circunferência.
Acesso em: 24 de janeiro de 2024.
Ou leia o texto do Mundo Educação.
Acesso em: 24 de janeiro de 2024.
3) Qual é o centro e o raio da circunferência cuja equação é dada por x² + y² + 2x – 2y – 2 = 0?
Gabarito:

4) Determine a equação da circunferência com centro no ponto C(2, 1) e que passa pelo ponto A(1, 1).
Gabarito:
Primeiro, encontramos o raio; basta fazer a distância entre o ponto A e o centro.

3ª Etapa: Praticando
Agora é a hora de colocar em prática, resolvendo alguns problemas de vestibulares.
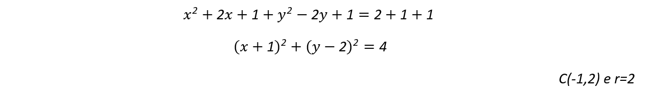
1) (UERN) A circunferência de equação x² + y² + 4x – 2y – 4=0 limita um círculo cuja área é igual a:
a) 6π
b) 8π
c) 9π
d) 12π
e) 16π
Gabarito:
Primeiro precisamos determinar a equação reduzida da reta para então determinar o raio, usando o método de completar quadrados.
Para isso, precisamos completar quadrado:

Crédito: Projeto Agatha Questões
2) (UFV-MG) A distância do centro da circunferência, de equação x^2 – 4x + y^2 – 8y + 11 = 0, ao ponto (3, 4) é:
a) 5
b) 1
c) 3
d) √41
e) √17
Gabarito:
Para calcular a distância do ponto até o centro, precisamos determinar qual é o centro da circunferência a partir da sua equação reduzida:
Completando os quadrados:

Crédito: Projeto Agatha Questões
3) (PUCRS) A medida do diâmetro da circunferência de equação x² + y² – 7x + 5y + 14 = 0 é:
a) √2
c) 2√2
d) 3√2
e) 4√2
f) 5√2
Gabarito:
Neste caso, basta encontrarmos o raio da circunferência e multiplicar por 2. Vamos usar o método de completar quadrados.

Alternativa correta: Letra C.
Crédito: Projeto Agatha Questões
Roteiro de estudos elaborado pelo professor Cícero Inacio dos Santos.
Revisão textual: professora Daniela Leite Nunes.
Coordenação Pedagógica: prof. dr.ª Aline Bitencourt Monge.