Conteúdos
Este roteiro de estudos de física apresenta um caminho para a compreensão de um tipo de movimento periódico: o movimento harmônico simples, também conhecido pela sigla MHS. Após indicação de leitura, sugerimos algumas questões, visando uma maior fixação do conteúdo. O material também conta com indicações de vídeos (possibilitando a ampliação e o aprofundamento em determinados tópicos). Na última etapa, há exercícios resolvidos.
- Introdução ao tema;
- Movimento harmônico simples (MHS); e
- Cheque seus conhecimentos.
Objetivos
- Compreender o que é um MHS; e
- Aprender como encontrar o período e a frequência de um sistema em MHS.
Proposta de trabalho:
O objetivo deste roteiro é auxiliar nos estudos em casa ou em outro ambiente. Nesse sentido, apresenta um percurso com textos-base e algumas propostas de atividades, e, no final, há outros textos e vídeos que podem ajudar a compreender melhor o tema em questão.
Não é necessário fazer todas as etapas, ler todos os textos, ou assistir todos os vídeos, mas as questões norteadoras, bem como as subquestões que advêm delas, ajudam na captação do conteúdo inteiro e dos principais conceitos.
Leia os textos propostos, sempre buscando as respostas para cada uma das perguntas. Se aparecerem mais dúvidas ao longo da leitura, aproveite para fazer anotações em seu caderno e aumentar ainda mais sua pesquisa. Após as leituras de cada um dos textos, escreva um parágrafo resumindo seu aprendizado.
1ª Etapa: Introdução ao tema
Imagine a seguinte situação:
Uma criança encontra-se brincando em um balanço, em um parque, com a sua mãe. A mãe impulsiona a criança, que oscila até uma certa altura, para de subir e retorna até o ponto em que a sua mãe se encontra, repetindo o processo.
Tal brincadeira no balanço pode ser considerada um sistema físico, que exibe o comportamento de um movimento periódico.
Naturalmente, se a mãe da criança parar de impulsioná-la, a amplitude da oscilação do balanço diminuirá, até parar. Isso se deve à presença de forças dissipativas no sistema em movimento periódico, tal como a força de atrito. Parte da energia utilizada para mover o balanço está sendo convertida em calor e barulho, por exemplo.
Na Física, idealizamos situações que nos permitem trabalhar conceitos de forma mais simples e clara. Vejamos: um objeto com massa m, suspenso por um fio ideal (sem massa, ou melhor, com massa desprezível, e inextensível), ao ser posto em movimento de oscilação sem a presença de forças dissipativas, constitui o que chamamos de pêndulo simples.
O pêndulo simples é um exemplo de sistema que exibe o movimento harmônico simples, também conhecido pela sigla MHS.
O que diferencia o pêndulo simples (uma situação idealizada) da criança no balanço (uma situação real) é, basicamente, a ausência (no primeiro caso) e a presença (no segundo caso) de forças dissipativas.
Para que um movimento periódico possa ser caracterizado como um MHS, necessariamente não deve haver forças dissipativas, o que garantirá a conservação da energia mecânica do sistema.
Este material tem como propósito construir um caminho possível de ser trilhado para uma melhor compreensão do movimento harmônico simples (MHS).
Bons estudos!
2ª Etapa: Movimento harmônico simples (MHS)
Pergunta norteadora: O que é um MHS?
HELERBROCK, Rafael. “Movimento harmônico simples”; Brasil Escola.
Disponível em: Movimento harmônico simples (MHS) – Brasil Escola. Acesso em: 09 de maio de 2023.
A partir da leitura do texto acima, responda às seguintes perguntas:
- Como podemos caracterizar o movimento harmônico simples (MHS)?
- O MHS é um tipo de movimento periódico que acontece exclusivamente em sistemas conservativos. O que caracteriza um sistema conservativo?
- No movimento harmônico simples, que tipo de força atua sobre o corpo, de modo a fazer com que ele sempre retorne para a posição de equilíbrio do sistema?
- Cite dois exemplos de MHS.
- No MHS, como a energia mecânica do sistema se comporta?
- Quais formas de energia compõem a energia mecânica de um sistema em MHS?
- Considere as definições dos conceitos e os identifique no quadro a seguir:

- Quais expressões matemáticas utilizamos para encontrar o período e a frequência, em um sistema (oscilador) massa-mola?
- Quais expressões matemáticas utilizamos para encontrar o período e a frequência, em um sistema de pêndulo simples?
Para saber mais, assista:
Movimento harmônico simples – Dica Enem – Chama o Físico.
Disponível em: Movimento harmônico simples – Dica Enem – Prof. Thales. Acesso em: 09 de maio de 2023.
Oscilações – Introdução ao Movimento Harmônico Simples – Responde Aí.
Disponível em: Oscilações – Introdução ao Movimento Harmônico Simples. Acesso em: 09 de maio de 2023.
Respostas da 2ª Etapa
1. O MHS é um tipo de movimento periódico que se manifesta quando um corpo, ao ser retirado da sua posição de equilíbrio, retoma tal posição devido à ação de uma força restauradora.
2. Um sistema conservativo é aquele em que não há ação de forças dissipativas (exemplo de força dissipativa: força de atrito).
3. Força restauradora.
4. 1º exemplo de MHS: Pêndulo simples.
2º exemplo de MHS: Oscilador massa-mola.
5. No movimento harmônico simples, a energia mecânica do sistema sempre é conservada, ou seja, mantida constante.
6. A energia mecânica num sistema em MHS é composta pelo somatório das energias cinética e potencial.
7.

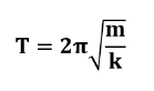
8. Em um oscilador massa-mola, o período é calculado da seguinte maneira:

Onde,
m: massa do corpo [kg];
k: constante elástica da mola [Nm].
E a sua frequência pode ser obtida pela seguinte expressão:

Portanto, tem-se que as duas grandezas (período e frequência) são inversamente proporcionais:

9. Em um pêndulo simples, o período é calculado da seguinte maneira:

Onde,
l: comprimento do fio [m];
g: aceleração da gravidade [ms2].
E a sua frequência pode ser obtida pela seguinte expressão:

Portanto, tem-se que as duas grandezas, período e frequência, são inversamente proporcionais:

3ª Etapa: Cheque seus conhecimentos
Realizar questões é um excelente exercício durante o estudo autodirigido. Abaixo, alguns exemplos de questões sobre o tema estudado:
1) (Unitau-SP) Um corpo de massa m, ligado a uma mola de constante elástica k, está animado de um movimento harmônico simples. Nos pontos em que ocorre a inversão no sentido do movimento:
- a) são nulas a velocidade e a aceleração
- b) são nulas a velocidade e a energia potencial
- c) a energia potencial é máxima
- d) a energia cinética é máxima e a energia potencial é mínima
- e) a velocidade, em módulo, e a energia potencial são máximas
Resposta: Letra C.
Justificativa:
Quando ocorre a inversão do sentido do movimento harmônico simples, a velocidade é nula e, consequentemente, a energia cinética também. Porém, a energia mecânica transforma-se completamente em energia potencial, que, por sua vez, assume seu máximo valor.
Questão Adaptada. Disponível em: Lista de exercícios sobre movimento harmônico simples – Mundo Educação. Acesso em: 09 de maio de 2023.
2) Um oscilador massa-mola, cuja massa é 1 kg, oscila a partir de sua posição de equilíbrio. Sabendo que a constante elástica da mola é 60 N/m, calcule a frequência desse oscilador.
Resolução:
Dados fornecidos pela questão:
Massa (m) = 1 kg;
Constante elástica da mola (k) = 60 N/m.
Utilizando a seguinte expressão:

Temos,

Questão Adaptada. Disponível em:
Lista de exercícios sobre movimento harmônico simples – Mundo Educação. Acesso em: 09 de maio de 2023.
3) Um corpo de massa 3 kg está preso a uma mola de constante elástica 200 N/m. Quando ele é deslocado da sua posição de equilíbrio, passa a deslocar-se, executando o movimento harmônico simples e atingindo uma elongação máxima na posição 0,5 m. Determine a período e a amplitude desse movimento.
Resolução:
Dados fornecidos pela questão:
Massa (m) = 3 kg;
Constante elástica da mola (k) = 200 N/m.
Utilizando a seguinte expressão:

Temos,

A amplitude corresponde à posição máxima de elongação da mola que, de acordo com o enunciado do exercício, é 0,5m. Portanto, a amplitude é 0,5 m.
Questão adaptada. Disponível em: Lista de exercícios sobre movimento harmônico simples – Mundo Educação. Acesso em: 09 de maio de 2023.