Conteúdos
Este roteiro de estudos aborda o conceito de energia cinética, por meio de exemplos do dia a dia.
Objetivos
- Relacionar conceitos teóricos com fenômenos do cotidiano;
- Resolver problemas simples envolvendo energia cinética; e
- Interpretar situações práticas que envolvem a influência da velocidade e da massa em sistemas físicos.
Conteúdos / Objetos do conhecimento:
- Energia cinética.
Palavras-chave:
Energia cinética. Velocidade. Massa.
Proposta de trabalho:
Este roteiro de estudos traz para os alunos uma explicação mista, entre teoria e prática, sobre energia cinética.
Bons estudos!
1ª Etapa: O que é energia cinética?
Definimos energia cinética como a energia associada ao movimento de um corpo. Ela depende da massa do corpo e da sua velocidade.
Utilizamos a seguinte fórmula para calcular a energia cinética:

Onde:
Existem algumas proporções importantes sobre a fórmula, tendo em vista que a energia cinética aumenta mais rapidamente do que a velocidade, já que ela é proporcional ao quadrado de mv. Por exemplo, dobrar a velocidade quadruplica a energia cinética.
Por conta da dependência da massa, quanto maior a massa do corpo, maior será a energia cinética para a mesma velocidade.
Exemplos práticos:
- Um carro em movimento possui energia cinética, que aumenta se ele acelerar ou se a sua massa for maior. Essa energia explica por que veículos mais pesados ou rápidos causam maiores danos em colisões.
- Uma bola arremessada ou chutada ganha energia cinética proporcional à força aplicada.
- As flechas e balas possuem energia cinética ao serem lançadas, e essa energia é responsável por seu impacto.
Para saber mais sobre a definição de energia cinética:
- COMO CALCULAR ENERGIA CINÉTICA | Resumo de Física para o Enem – Curso Enem Gratuito.
Acesso em: 28 de novembro de 2024.
- Energia Cinética – Matemática no Papel.
Acesso em: 28 de novembro de 2024.
2ª Etapa: Exercícios
1) Um carro de 1000 kg está se movendo com uma velocidade de 20 m/s. Qual é a energia cinética desse carro?
2) Uma bola de futebol de 0,5 kg é chutada a uma velocidade de 10 m/s. Um jogador arremessa uma bola de basquete de 2 kg com velocidade de 5 m/s. Qual das bolas possui maior energia cinética?
3) Se a velocidade de um corpo de 5 kg for duplicada, como sua energia cinética será alterada?
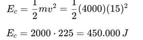
4) Um caminhão de 4000 kg está se movendo a 15 m/s, enquanto um carro de 1000 kg está a 30 m/s. Qual veículo tem maior energia cinética?
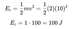
5) Um objeto de 2 kg está parado e começa a se mover com uma velocidade de 10 m/s. Qual foi o trabalho realizado sobre o objeto para colocá-lo em movimento?
6) Um corpo de 10 kg possui uma energia cinética de 500 J. Qual é a velocidade desse corpo?
7) Dois corpos possuem a mesma energia cinética, mas o primeiro tem massa 4 vezes maior que o segundo. Qual a relação entre as velocidades dos dois corpos?
3ª Etapa: Resolução dos exercícios
1) Para iniciar, utilizamos a seguinte fórmula:

Substituímos os valores:

Resposta: a energia cinética do carro é 200.000J (200kJ).
2) Para a bola de futebol:

Para a bola de basquete:

Resposta: ambas as bolas possuem a mesma energia cinética, 25J
3) Utilizando a fórmula da energia cinética:

Se a velocidade inicial é v, então a energia cinética inicial é:
![]()
Se a velocidade for duplicada (2v):

Resposta: Concluímos, portanto, que a energia cinética será quatro vezes maior quando a velocidade for duplicada.
4) Para o caminhão:

Para o carro:

Resposta: ambos os veículos têm a mesma energia cinética, 450.000J.
5) O trabalho realizado sobre o objeto é igual à variação da energia cinética. Como ele estava parado inicialmente, sua energia cinética inicial era zero. A energia cinética final é:

Resposta: O trabalho realizado foi de 100J.
6) Substituindo os valores na fórmula da energia cinética:

Resposta: a velocidade do corpo é 10 m/s.
7) Utilizando a fórmula da energia cinética:

Se Ec1 = Ec2, então:

Cancelando ½:
![]()
Substituímos m1= 4m^2
![]()
Cancelamos m2:

Resposta: a velocidade do segundo corpo é o dobro da velocidade do primeiro.
Bons estudos! Continue praticando!
Roteiro de estudos elaborado pela Professora Gabriela R. do Prado.
Coordenação Pedagógica: Prof.ª Dr.ª Aline Bitencourt Monge.
Revisão textual: Professora Daniela Leite Nunes.
Crédito da imagem: piranka – Getty Images